電子元器件檢測中心:失效模式和效果分析
日期:2021-08-23 13:55:14 瀏覽量:4332 標簽: 失效分析
電子元器件產業作為電子信息產業的基礎力量, 更是新時代發展革新的重點。中國電子元器件的發展過程是從淺到深、從少到多, 直到累積一定程度, 才獲取優異成績。據統計, 當前我國電子元器件行業總產值大約占據電子信息產業的百分之二十,電子元器件產業也成為引導我國電子信息產業持續發展的基礎內容。所以,電子元器件的失效分析成為其中很重要的部分。
1.失效分析的概述
可靠性工作的目的不僅是為了了解、評價電子元器件的可靠性水平,更重要的是要改進、提高電子元器件的可靠性。所以,在從使用現場或可靠性試驗中獲得失效器件后,必須對它進行各種測試、分析,尋找、確定失效的原因,將分析結果反饋給設計、制造、管理等有關部門,采取針對性強的有效糾正措施,以改進、提高器件的可靠性。這種測試分析,尋找失效原因或機理的過程,就是失效分析。 失效分析室對電子元器件失效機理、原因的診斷過程,是提高電子元器件可靠性的必由之路。元器件由設計到生產到應用等各個環節,都有可能失效,從而失效分析貫穿于電子元器件的整個壽命周期。因此,需要找出其失效產生原因,確定失效模式,并提出糾正措施,防止相同失效模式和失效機理在每個元器件上重復出現,提高元器件的可靠性。
歸納起來,失效分析的意義有以下5點:
(1) 通過失效分析得到改進設計、工藝或應用的理論和思想。
(2) 通過了解引起失效的物理現象得到預測可靠性模型公式。
(3) 為可靠性試驗條件提供理論依據和實際分析手段。
(4) 在處理工程遇到的元器件問題時,為是否要整批不用提供決策依據。
(5) 通過實施失效分析的糾正措施可以提高成品率和可靠性,減小系統試驗和運行工作時的故障,得到明顯的經濟效益。
2.失效的分類
在實際使用中,可以根據需要對失效做適當的分類。
按失效模式,可以分為開路、短路、無功能、特性退化(劣化)、重測合格;
按失效原因,可以分成誤用失效、本質失效、早期失效、偶然失效、耗損失效、自然失效;
按失效程度,可分為完全失效、部分(局部)失效;
按失效時間特性程度及時間特性的組合,可以分成突然失效、漸變失效、間隙失效、穩定失效、突變失效、退化失效、可恢復性失效;
按失效后果的嚴重性,可以分為致命失效、嚴重失效、輕度失效;
按失效的關聯性和獨立性,可以分為關聯失效、非關聯失效、獨立失效、從屬失效;
按失效的場合,可分為試驗失效、現場失效(現場失效可以再分為調試失效、運行失效);
按失效的外部表現,可以分為明顯失效、隱蔽失效。
3.失效機理與失效模式
電子元器件的失效主要是在產品的制造、試驗、運輸、存儲和使用等過程中發生的,與原材料、設計、制造、使用密切相關。電子元器件的種類很多,相應的失效模式和機理也很多。失效機理是器件失效的實質原因,說明器件是如何失效的,即引起器件失效的物理化學過程,但與此相對的是它遲早也要表現出的一系列宏觀性能、性質變化,如疲勞、腐蝕和過應力等。我們可以根據不同的失效機理確定相應的失效模型,對電子元器件進行失效分析。從現場失效和試驗中去收集盡可能多得信息(包括失效形態、失效表現現象及失效結果等)進行歸納和總結電子元器件的是失效模式,分析和驗證失效機理,并針對失效模式和失效機理采取有效措施,是不斷提高電子元器件可靠性水平的過程。
電子元器件的主要失效機理有:
(1)過應力(EOS):是指元器件承受的電流、電壓應力或功率超過其允許的最大范圍。
(2)靜電損傷(ESD):電子器件在加工成產、組裝、貯存以及運輸過程中,可能與帶靜電的容器、測試設備及操作人員相接觸,所帶靜電經過器件引腳放電到地,使器件收到損傷或失效。
(3)閂鎖效應(latch-up):MOS電路中由于寄生PNPN晶體管的存在而呈現一種低阻狀態,這種低阻狀態在觸發條件去除或終止后仍會存在
(4)電遷移(EM):當器件工作是,金屬互聯線內有一定的電流通過,金屬離子會沿導體產生質量的運輸,其結果會使導體的某些部位出現空洞或晶須。
(5)熱載流子效應(HC):熱載流子是指能量比費米能級大幾個kT以上的載流子。這些載流子與晶格不處于熱平衡狀態,當其能量達到或超過Si-SiO2界面勢壘時(對電子注入為3.2eV,對空穴注入為4.5eV)便會注入到氧化層中,產生界面態、氧化層陷阱或被陷阱所俘獲,使氧化層電荷增加或波動不穩,這就是熱載流子效應。
(6) 柵氧擊穿:在MOS器件及其電路中,柵氧化層缺陷會導致柵氧漏電,漏電增加到一定程度即構成擊穿。
(7)與時間有關的介質擊穿(TDDB):施加的電場低于柵氧的本征擊穿強度,但經歷一定的時間后仍會發生擊穿現象,這是由于施加應力的過程中,氧化層內產生并聚集了缺陷的原因。
(8)由于金-鋁之間的化學勢不同,經長期使用或200以上的高溫存儲后,會產生多種金屬間化合物,如紫斑、白斑等。使鋁層變薄、接觸電阻增加,最后導致開路。在300高溫下還會產生空洞,即柯肯德爾效應,這種效應是高溫下金向鋁中迅速擴散并形成化合物,在鍵合點四周出現環形空間。使鋁膜部分或全部脫離,形成高阻或開路。
(9)“爆米花效應”:塑封元器件塑封材料內的水汽在高溫下受熱發生膨脹,使塑封料與金屬框架和芯片間發生分層效應,拉斷鍵合絲,從而發生開路失效。失效模式是指失效的外在直觀失效表現形式和過程規律,通常指測試或觀察到的失效現象、失效形式,如開路、短路、參數漂移、功能失效等。產品的失效依據其是否具有損傷的時間累積效應而被分為“過應力型失效”和“損耗型失效”,所以,與時間相關的失效模型定量地描述了產品隨時間的損傷積累狀況,在宏觀上表現為性能或是參數隨時間的退化。
常用的失效模型有:
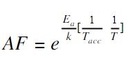
(1) 阿列尼烏茲模型:阿列尼烏茲模型定量地給出化學反應速率與溫度的關系,所以,如果一個產品的失效過程取決于這樣的一個化學,則阿列尼烏茲模型 就給出了產品的壽命,反應環境溫度T(絕對溫度)下的產品壽命
,其中,C為常數;Ea為化學反應的激活能。建立在這一模型基礎上的加速因子AF則為:
,這里,Tacc為加速條件下的溫度。
(2) 艾林模型:艾林模型與阿列尼烏茲模型相比可以考慮溫度以外更多類型的應力的影響,同時,潛在地可以考慮這些不同類型應力之間的相互作用。
_20210823134614_446.jpg)
4.失效分析技術
失效分析技術是失效分析說使用的手段和方法,它主要包括六大方面的內容:失效定位技術;樣品制備技術;顯微分析技術;應力驗證技術;電子分析技術;成份分析技術。
1、失效定位技術
失效定位技術的主要目的是確定檢測目標的失效部位,隨著現代集成電路及電子元器件的復雜化,失效定位技術就顯得尤為重要。失效定位技術有多種方法,其中無需開封即可進行的無損檢測有X-ray,SAM等。X-ray可用于觀察元器件及多層印刷電路板的內部結構,內引線開路或短路,粘接缺陷,焊點缺陷,封裝裂紋,空洞、橋連、立碑及器件漏裝等缺陷。SAM則可觀察到材料內部裂紋,分層缺陷,空洞、氣泡、空隙等。若X-ray,SAM不能探測到失效部位,則需要對元器件進行開封處理,而后可進行其他方法的失效定位,如顯微檢查。
2、 樣品制備技術
解決大部分失效分析,都需要采用解剖分析技術,即對樣品的剖層分析,它不對觀察和測試部分存在破壞。樣品的制備步驟一般包括:打開封裝、去鈍化層,對于多層結構芯片來說,還要去層間介質。打開封裝可以使用機械開封或化學開封方法。去鈍化層可使用化學腐蝕或等離子體腐蝕(如ICP、RIE)的方法,或FIB等。
3、 顯微分析技術
失效原因的分析,失效機理的確定及前文提到的失效定位都要用到顯微分析技術。顯微分析一般采用各種顯微鏡,且他們各具優缺點,如景深大成像立體感強的體視顯微鏡;平面成像效果好顏色突出的金相顯微鏡;放大倍數高(可達幾十萬倍)的SEM;制樣要求高可觀察到晶格結構的TEM;成像精度不高但操作方便的紅外顯微鏡;成像精度較高的光輻射顯微鏡等,要根據實際情況進行設備和方法的選擇。
4、 應力驗證技術
電子元器件在不同的環境中可靠性存在差異,如不同濕度、溫度下產生的應力,不同電流、電壓下產生的電應力等,都會導致電子元器件性能的變化,或失效。因此,可以模擬各種環境參數,來驗證元器件在各種應力下的可靠性。
5、 電子分析技術
利用電子進行失效分析的方法很多,如EBT,EPMA,SEM,TEM,AES等。
6、 成份分析技術
需要確定元器件中某部分的成份和組份即需要用到成份分析技術,以判斷是否存在污染,或組份是否正確,而影響了元器件的性能。常用設備有EDS,EDAX,AES,SIMS等。
失效發生的環節有開發、生產、工程等階段,失效信息的匯集部門也相應地存在于多個部門。如果沒有及時地將失效信息反饋至失效分析部門,勢必影響失效分析的及時性和分析結果的準確性。因此,必須建立有效的反饋渠道,使失效分析工程師能夠及時了解器件的失效情況以及分析進展。